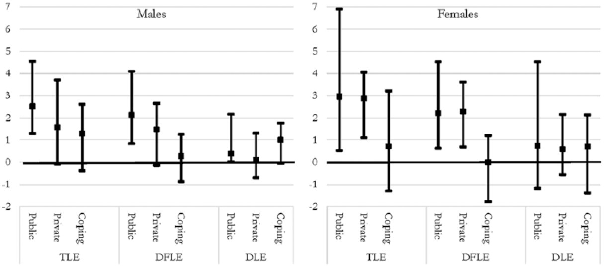
The Linking Spirituality and Religiosity to Life and Health Expectancy team published a new article – Religiosity Dimensions and Disability-Free Life Expectancy in Taiwan. The article used eight years of panel data to investigate the association between three dimensions of religiosity and total and disability-free life expectancy. The team found that those who engage in public and private religiosity live longer and more years disability-free than others, but proportion of life disability-free does not differ across levels of religiosity.

Figure 2. Net gain or loss in TLE, DFLE, and DLE years at age 70, comparing the highest and lowest levels of religiosity, and 95% confidence intervals of these gains or losses, by sex and religiosity dimension.
Note. TLE = total life expectancy; DFLE = disability-free life expectancy; DLE = disabled life expectancy.